Are richer countries more likely to have higher obesity rates related to covid deaths?
A doctor on tiktok posted "most of the critical covid patients had either high blood pressure, type 2 diabetes or obesity. A random guy in a bar, quipped "If you want to be healthy, eat like a poor man".
To investigate their positions, I looked at the correlation between covid deaths and obesity rates of countries in the world grouped by income(GNI Per Capita income classification). I will keep the analysis focused on obesity rates and covid deaths by income and post a question on diabetes, which came up often when invesitgating the outlier countries.
H0: Richer Countries are not more likely to have higher obesity rates related to covid deaths
Ha: Countries that are richer are more likely to have higher obesity rates related to covid deaths
Click on image for Interactive Dashboard created on Google Data Studio:
The Data Sources for this project:
WHO Cumulative Covid Death Data by Country July 2022,
World Bank GNI Per Capita Data for 2019 Extracted in July 2022,
World Population Review Obesity Rate by Country 2020,extracted in July 2022.
Exploratory Data Analysis
Data Extraction and Detection of Outliers
Data extracted from source websites is in Excel format and was combined using the vlookup function in excel
Countries with missing data were deleted first e.g. North Korea. Quick Excel scatterplots revealed possible outliers (Extreme cases on both variables) that were geographically visualized on Data Studio by Google:
Countries with most Covid deaths and their obesity rates
Among the "most Covid deaths" were countries that have moderately high tourism rates. It would be interesting to look at the Diabetes rates of these countries. A 2022 article by Medical News Today lists these same countries as top 3 in Type 1 Diabetes prevalance suggesting a relationship to be investigated:
Countries with least Covid deaths and their obesity rates
Among the "least Covid deaths " were Pacific small island countries with the highest obesity rates in the world and among the least visited countries in the world.
Final outliers were tabulated using the standardization formulae, eliminating those outside the range(-3.29,3.29):


Obesity rates outliers: Nauru was the outlier with the highest Obesity rate in the world. Nauru is also a high income country and had its first covid case in 2022 when it was likely the milder Omicron variant. However, the story of Nauru is tragic and there are several factors that have contributed to its disease burden, including Diabetes.
Covid deaths outliers: USA,Brazil,India. A follow up investigation on Type 1 diabetes rates would be interesting to look at as Adult Type 2 diabetes and Obesity are usually closely related.

The data was coded 0 or 1 if they were outside the range (-3.29,3.29) into variables IS.OB.Outlier and Is.CD.Outlier in Excel.

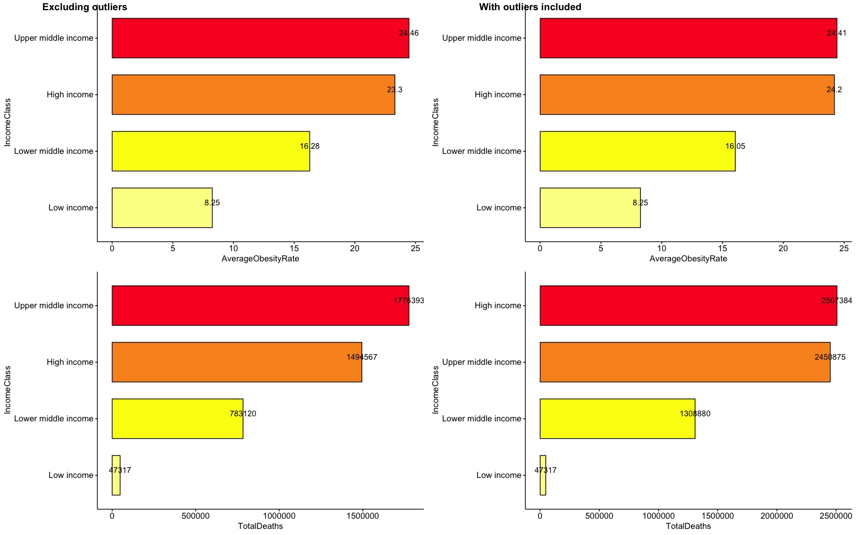
Using Excel pivot tables and charts the data was quickly grouped into 4 World Bank income classifications.

The health data was read into R in csv format and 4 outliers excluded from the final data. Data grouped by income (excluding outliers) was also read into R for further analysis P-value of shapiro test > 0.05 means we fail to reject the Null Hypothesis that data distribution is significantly different normal. QQplots are a visual check that confirm the covariation beteen variables is linear and correlation of variables with normal distribution. We will use the Pearson Correlation test with a 95% confidence interval for Data by Income with excluded outliers and with included outliers. Below is the code for generating scatterplots Running the correlation test to obtain the confidence intervals and actual R and p-values. Now that we have established that the variables are correlated (~.99 R) and linear, we can fit a linear regression model to explain the relationship between covid deaths and obesity rates as country incomes rise. Both linear models (included outliers and excluded outliers) show a significant linear relationship between deaths and obesity rates with p-value <0.05 = 0.043 glm 1 : Total Deaths = -836703 + 103032*ObesityRate + E glm 2 : Total Deaths = -1216060 + 154637*ObesityRate + E However the standard errors associated with the model are too large which brings to question the suitability of our linear regression Model. I fitted a log linear model this time, using log10 transformed covid death data This time, only the log linear model that excludes outliers gives a significant relationship between covid deaths and obesity rate p<0.05 = 0.043.
The standard errors are also small which suggests the observed and expected values are not far from each other and so the log linear model with excluded outliers is a better fit for the data. We can therefore accept Ha: Richer countries are more likely to have higher obesity and covid death rates.
This relationship is descibed by the log linear model below glm 3 : log10Deaths = 4.05631 + 0.09362*ObesityRate + E A plot of the residuals (E) from the log linear model with excluded outliers (glm3 ) to see whether the model suitably explains the data is done below. It shows varying distances from the mean with the second residual being much futher from the mean This suggests that our current regression is not enough to explain covid deaths. There are missing variables or interactions in the
regression that could explain the deaths better e.g Type 1 diabetes or other metabolic
disorders, Tourism rates, etc.
If you were to zoom into India ,the 3rd highest covid deaths in the world, a lower middle income country yet with a low obesity rate of 3.9. However, as noted before, India has the 3rd highest prevalence of Type 1 diabetes according to 2022 data from Medical News Today. As incomes grow, countries urbanize and citizens obesity rates tend to grow significantly contributing to higher chances of covid deaths. However, more variables like Type 1 Diabetes noticed in outlier countries, and other factors need to be investigated for a better description of the relationships with Covid deaths.

Data Analysis with R
Plotting distribution of Data by Income excluding outliers.
Using the ggbarplot function in R. (Did not insert code image - too lengthy because of warnings!)

Testing variables for normality


Testing the correlation of Obesity rates and Covid deaths

The scatterplots below give us high correlation coefficient values(R value) on both datasets with a significant p-value <0.05.


Fitting a linear regression model




Conclusion
Get In Touch
